褰撳墠浣嶇疆錛?a href="/">棣栭〉>>鑹鴻冭祫璁?/a>>>姝f枃
鏍¤冨揩鎶?| 鏄熸搗闊充箰瀛﹂櫌鍏竷2020騫存湰縐戞嫑鐢熷璇曞悕鍗?/h1>
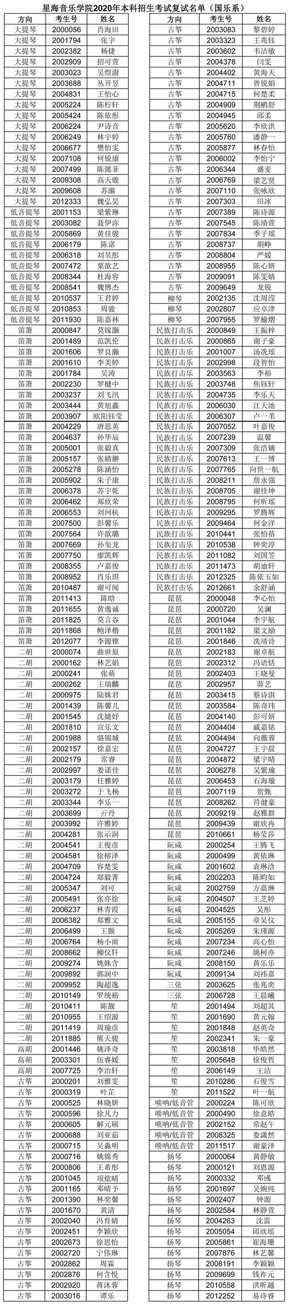
榪戞棩錛?a style="color:#00F;">鏄熸搗闊充箰瀛﹂櫌鍏竷浜?020騫村櫒涔愮被銆佽垶韞堢悊璁恒佹紨鍑哄埗浣滀笌鍓у満綆$悊涓撲笟澶嶈瘯鍚嶅崟錛屾湁鍙傚姞榪欎簺涓撲笟鑰冭瘯鐨勫悓瀛︾湅鐪嬫湁娌℃湁浣犵殑鍚嶅瓧鍝?
(鍥劇墖鏉ユ簮緗戠粶錛屽鏈変鏡鏉冭仈緋葷珛鍒?




















鑹烘湳楂樿冭鎯呰В閲?/a>
澶╃眮鑹烘湳瀛︽牎綆浠?/a>
澶╃眮鍒濅腑鐢熻壓鑰?/a>
澶╃眮澶嶈鐢熻壓鑰?/a>


澶╃眮絎崄浜屽眾鑹烘湳鑺?/a>
澶╃眮絎崄涓夊眾鑹烘湳鑺?/a>
澶╃眮絎崄鍥涘眾鑹烘湳鑺?/a>
澶╃眮2015瀛﹂湼椋庝簯姒?/a>


2016澶╃眮鍚嶆牎姒?/a>
澶╃眮2016瀛﹂湼椋庝簯姒?/a>


2017瀛﹂湼椋庝簯姒?/a>

2018澶╃眮鑽h姒?/a>
2019澶╃眮鑽h姒?/a>

















娓濆叕緗戝畨澶?50010702500490鍙?/p>