锘?!DOCTYPE html PUBLIC "-//W3C//DTD XHTML 1.0 Transitional//EN" "http://www.w3.org/TR/xhtml1/DTD/xhtml1-transitional.dtd">
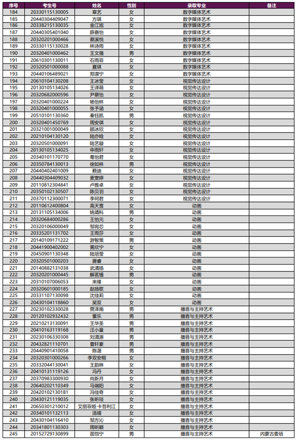
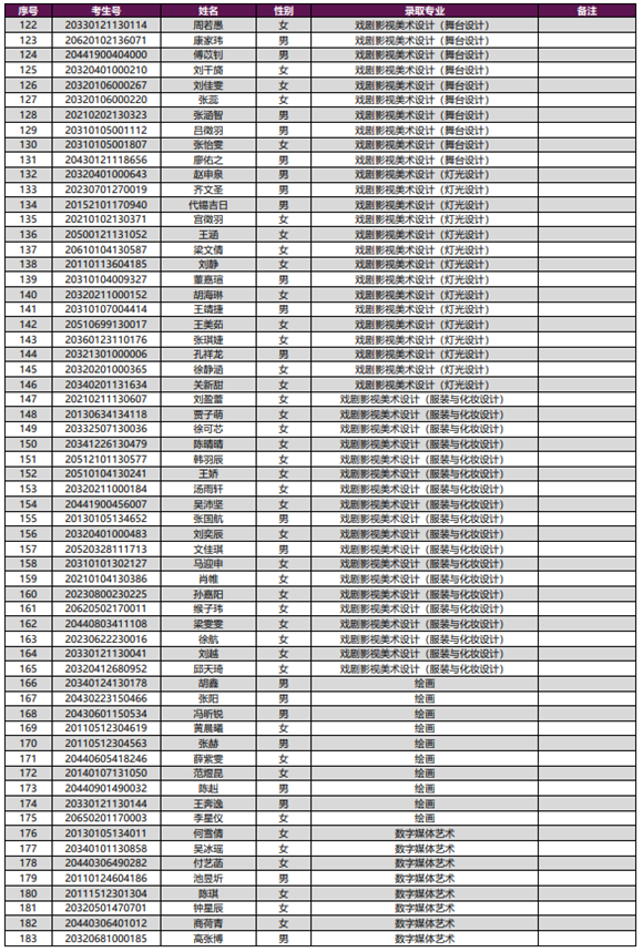
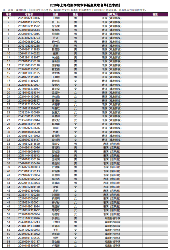
榪戞棩錛?a style="color:#00F;">涓婃搗鎴忓墽瀛﹂櫌鍏竷浜?020騫磋壓鏈被鍚勪笓涓氬綍鍙栧垎鏁扮嚎鍙婂綍鍙栧悕鍗曪紝鍏蜂綋濡備笅錛?/span>
(鍥劇墖鏉ユ簮緗戠粶 濡備鏡鏉冭仈緋葷珛鍒?
澶╀箣楠勫瓙涓ㄤ腑鍥芥垙鏇插闄㈠闇擱檲鎬?..
鐐瑰嚮瑙傜湅瑙嗛
鏈綉绔欑増鏉冨綊 澶╃眮鏁欒偛鎵鏈?COPYRIGHT 2014 澶囨/璁稿彲璇佺紪鍙蜂負錛?a style="color:#666666;" target="_blank">娓滻CP澶?2006867鍙?1
娓濆叕緗戝畨澶?50010702500490鍙?/p>