锘?!DOCTYPE html PUBLIC "-//W3C//DTD XHTML 1.0 Transitional//EN" "http://www.w3.org/TR/xhtml1/DTD/xhtml1-transitional.dtd">
鎮ㄥソ錛氭榪庢偍榪涘叆澶╃眮鑹烘湳瀛︽牎
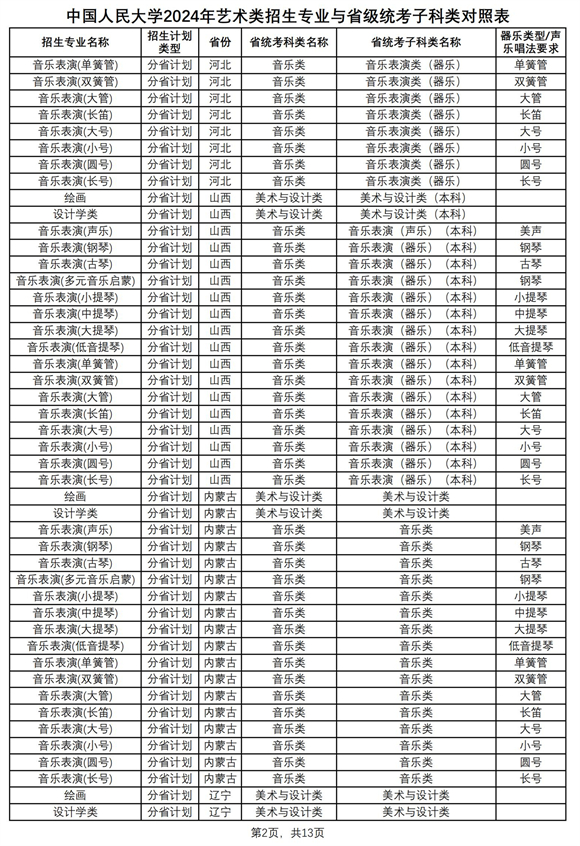
鏍規嵁鏁欒偛閮ㄧ浉鍏蟲枃浠惰瀹氾紝緇忓悇鐪佺駭鎷涚敓鑰冭瘯鏈烘瀯瀹℃牳閫氳繃錛岀幇鍙戝竷鎴戞牎2024騫磋壓鏈被鎷涚敓涓撲笟涓庣渷綰х粺鑰冨瓙縐戠被瀵圭収琛ㄣ?/span>
娉細鎴戞牎鑹烘湳綾繪嫑鐢熶笓涓氬拰鍒嗙渷鎷涚敓璁″垝浠ュ悗鏈熷彂甯冪殑2024騫存嫑鐢熺畝绔犱負鍑嗭紝璇瘋冪敓鍏蟲敞鎴戞牎闃沖厜鎷涚敓淇℃伅騫沖彴(https://rdzs.ruc.edu.cn)銆?/span>
澶╀箣楠勫瓙 | 涓ぎ鎴忓墽瀛﹂櫌鍏ㄥ浗絎?..
鐐瑰嚮瑙傜湅瑙嗛
寰俊鎵竴鎵氨鑳介殢鏃朵簡瑙e鏍℃渶鏂板姩鎬?/p>
澶╃眮瀹樻柟寰俊鍙鳳細TL18581130400
楂樹腑欏瑰煄甯傚皻鏂囧ぉ綾佽壓鏈珮涓?/a>
欏瑰煄甯傚皻鏂囧ぉ綾佽壓鏈珮涓?/a>
閲嶅簡鏁欒偛鏁欏鐮斿彂涓績錛圓鍖烘婚儴錛?/a>閲嶅簡鏁欒偛鏁欏鐮斿彂涓績錛圕鍖猴級涓囧窞鏍″尯姘稿窛鏍″尯姊佸鉤鏍″尯涓伴兘鏍″尯鍗楀窛鏍″尯浜戦槼鏍″尯姹熸觸鏍″尯蹇犲幙鏍″尯宸北鏍″尯
娉稿窞鏍″尯寰烽槼鏍″尯
璐甸槼鏁欒偛鏁欏鐮斿彂涓績鍏洏姘存牎鍖?/a>灞變笢鍗沖ⅷ鏍″尯濞佹搗鏍″尯鐑熷彴鏍″尯鏃ョ収鏍″尯楂樺瘑鏍″尯璇稿煄鏍″尯涓滃煄鏍″尯澶╂觸澶╂觸鏁欒偛鏁欏鐮斿彂涓績
鍗沖ⅷ鏍″尯濞佹搗鏍″尯鐑熷彴鏍″尯鏃ョ収鏍″尯楂樺瘑鏍″尯璇稿煄鏍″尯涓滃煄鏍″尯澶╂觸澶╂觸鏁欒偛鏁欏鐮斿彂涓績
澶╂觸鏁欒偛鏁欏鐮斿彂涓績
閭兏鏁欒偛鏁欏鐮斿彂涓績嫻欐睙嫻欐睙鏁欒偛鏁欏鐮斿彂涓績娌沖崡浜戝崡灝忚タ闂ㄦ牎鍖?/a>
嫻欐睙鏁欒偛鏁欏鐮斿彂涓績娌沖崡浜戝崡灝忚タ闂ㄦ牎鍖?/a>
浜戝崡灝忚タ闂ㄦ牎鍖?/a>
灝忚タ闂ㄦ牎鍖?/a>
鏈綉绔欑増鏉冨綊 澶╃眮鏁欒偛 鎵鏈塁OPYRIGHT 2014澶囨/璁稿彲璇佺紪鍙蜂負: 娓滻CP澶?2006867鍙?1