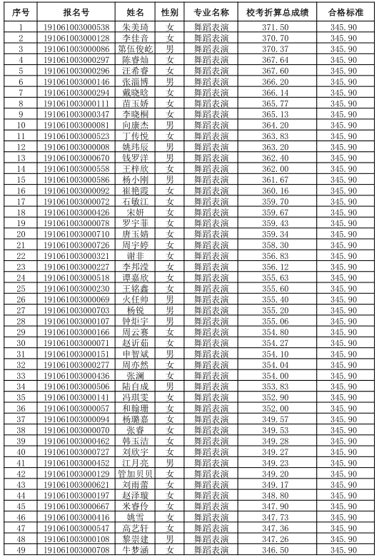
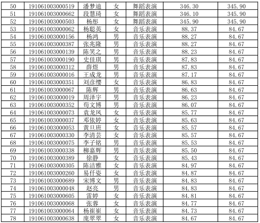
鍥涘窛澶у2019騫磋垶韞堣〃婕斾笓涓氭牎鑰冨悎鏍肩嚎
鍥涘窛澶у2019騫磋壓鏈被鏍¤冨悎鏍煎垎鏁扮嚎錛氳垶韞堣〃婕?45.90鍒嗐侀煶涔愯〃婕?4.67鍒嗐?/span>
鑸炶箞琛ㄦ紨鏍¤冪渷浠斤細灞辮タ銆佸ぉ媧ャ佽窘瀹併佷簯鍗椼佽吹宸炪佽タ钘忋侀潚嫻楓佸畞澶忋佸畨寰姐佺寤恒佹睙瑗褲佹箹鍖椼佹箹鍗椼佹搗鍗椼侀粦榫欐睙銆佺敇鑲冦佹渤鍖椼?
闊充箰琛ㄦ紨銆愬0涔?緹庡0銆佹皯鏃忓敱娉?銆戞牎鑰冪渷浠斤細浜戝崡銆佽吹宸炪佺敇鑲冦佹箹鍗椼?
鍥涘窛澶у
鍥涘窛澶у2019騫磋壓鏈被鏍¤冩垚緇╁凡鍙戝竷錛岃鑰冪敓鐧誨綍鏁欒偛閮ㄩ槼鍏夐珮鑰冧俊鎭鉤鍙扳滅壒孌婄被鍨嬫嫑鐢熸姤鍚嶅鉤鍙扳濇煡璇㈡祴璇曟垚緇╋紝緗戝潃涓猴細https://gaokao.chsi.com.cn/zzbm/yslbm/ 銆?/span>
鏍規嵁銆婃暀鑲查儴鍔炲叕鍘呭叧浜庡仛濂?019騫存櫘閫氶珮絳夊鏍¢儴鍒嗙壒孌婄被鍨嬫嫑鐢熷伐浣滅殑閫氱煡銆?鏁欏鍘?[2018]13 鍙?鍙娿婂洓宸濆ぇ瀛?019騫磋〃婕旂被鏈鎷涚敓綆绔燵鑸炶箞琛ㄦ紨銆侀煶涔愯〃婕?澹頒箰)涓撲笟]銆嬬殑鐩稿叧瑙勫畾錛屾垜鏍′嬌鐢ㄨ冪敓鐨勭渷綰х粺鑰冩垚緇╁拰鎴戞牎鏍¤冩垚緇╂姌綆楀姞鏉冨悗褰㈡垚鈥滀笓涓氭繪垚緇┾濅負渚濇嵁錛屾寜鈥滀笓涓氭繪垚緇┾濅粠楂樺埌浣庢帓搴忥紝鍦ㄦ暀鑲查儴瑙勫畾鐨勭‘瀹氭牎鑰冨悎鏍間漢鏁扮殑姣斾緥鑼冨洿鍐咃紝鎷╀紭紜畾鏍¤冨悎鏍煎悕鍗曘傜幇灝嗗悎鏍煎悕鍗曞湪鏈綉绔欎簣浠ュ叕紺?鍚嶅崟瑙侀檮浠?銆?
鍏ず鏈燂細2019騫?鏈?鏃モ?鏈?0鏃?
鍏ず鏈熷唴濡傛湁寮傝璇峰強鏃跺悜鎷涚敓灝變笟澶勬垨鍥涘窛澶у鐩戝療澶勫弽鏄犮?
鑱旂郴鐢佃瘽錛?28-86080605 (鎷涚敓灝變笟澶?銆?28-85404020 (鐩戝療澶?
鐩戠潱閭錛歯ic8401@scu.edu.cn (鎷涚敓灝變笟澶?
jiwei@scu.edu.cn (綰鍔炲叕瀹ゃ佺洃瀵熷)
鍥涘窛澶у 2019 騫磋壓鏈被鏍¤冨悎鏍煎悕鍗曞悓鏃跺皢鍦ㄦ暀鑲查儴闃沖厜楂樿冨鉤鍙拌繘琛屽叕紺猴紝鍚嶅崟緇忓叕紺烘棤寮傝鍚庣敓鏁堛?
鍥涘窛澶у鎷涚敓灝變笟澶?
2019騫?鏈?鏃?
鍥涘窛澶у2019騫磋壓鏈被鏍¤冨悎鏍煎悕鍗?/strong>












緹庢湳鑹鴻冨煿璁?/a>
闊充箰鑹鴻冨煿璁?/a>
鎾煶涓繪寔鑹鴻冨煿璁?/a>
琛ㄦ紨鑹鴻冨煿璁?/a>
絀轟箻鑹鴻冨煿璁?/a>
鑸炶箞鑹鴻冨煿璁?/a>
緙栧鑹鴻冨煿璁?/a>
涔︽硶鑹鴻冨煿璁?/a>
鑹鴻冭鎯呰В閲?/a>
澶╃眮鑹烘湳瀛︽牎綆浠?/a>



澶╃眮絎崄浜屽眾鑹烘湳鑺?/a>
澶╃眮絎崄涓夊眾鑹烘湳鑺?/a>
澶╃眮絎崄鍥涘眾鑹烘湳鑺?/a>
澶╃眮絎崄浜斿眾鑹烘湳鑺?/a>
澶╃眮2016瀛﹂湼椋庝簯姒?/a>

2017瀛﹂湼椋庝簯姒?/a>
2021澶╃眮瀛﹂湼椋庝簯姒?/a>
2022澶╃眮鑽h姒?/a>
2022澶╃眮瀛﹂湼椋庝簯姒?/a>






